Bộ câu hỏi và bài tập trắc nghiệm Toán 12 Ôn tập chương 2 Giải tích được chúng tôi sưu tầm và tổng hợp bao gồm những dạng câu hỏi trọng tâm và thường xuất hiện trong bài kiểm tra quan trọng. Mời các em học sinh và quý thầy cô giáo theo dõi chi tiết dưới đây.
Câu 1: Khẳng định nào sau đây là đúng?

Câu 2: Lôgarit cơ số 3 của 27.∜9.∛9 là:

Câu 3: Tính giá trị biểu thức 7log77 - log777
A. 0
B. -6
C. 7
D. 1/7
Câu 4: Giải phương trình 10x = 400
A. x = 2log4
B. x = 4log2
C. x = 2log2 + 2
D. x = 4
Câu 5: Nếu logx - 5log3 = -2 thì x bằng
A. 0,8
B. 0,81
C. 1,25
D. 2,43
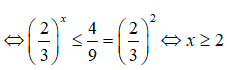
Câu 6: Giải bất phương trình 2x + 2x + 1 ≤ 3x + 3x - 1
A. x ≤ 2
B. x ≤ -2
C. x ≥ 2
D. x ≥ -2
Câu 7: Giải bất phương trình log45x - log3 > 1

Câu 8: Rút gọn biểu thức

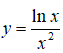
Câu 9: Tìm các điểm cực trị của hàm số

A.x = -1
B. x = 1
C. x = 1/2
D. x = 2
Câu 10: Đặt log2 = a, log3 = b . Khi đó log512 bằng

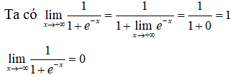
Câu 11: Tìm các đường tiệm cận ngang của đồ thị hàm số

A. y = 0
B. y = -1
C. y = 0 và y = 1
D. y = 0 và y = -1
Câu 12: Ngày 27 tháng 3 năm 2016 bà Mai gửi tiết kiệm vào ngân hàng số tiền 100 triệu đồng với hình thức lãi kép và lãi suất 6,8% một năm. Bà Mai dự tính đến ngày 27 tháng 3 năm 2020 thì rút hết tiền ra để lo công chuyện. Hỏi bà sẽ rút được bao nhiêu tiền (làm tròn kết quả đến hàng nghìn) ?
A. 38949000 đồng
B. 21818000 đồng
C. 31259000 đồng
D. 30102000 đồng
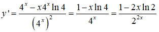
Câu 13: Tính đạo hàm của hàm số

Câu 14: Cho hàm số

Khẳng định nào sau đây đúng ?
A. x = e2 là điểm cực đại của hàm số
B. x = e2 là điểm cực tiểu của hàm số
C. x = √e là điểm cực đại của hàm số
D. x = √e là điểm cực tiểu của hàm số
Câu 15: Giải phương trình

Câu 16: Tính tổng bình phương các nghiệm của phương trình 32 + x + 32 - x = 82
A. 4
B. 8
C. 12
D. 16
Câu 17: Nếu logkx.log5k = 3 thì x bằng
A. k3
B. k5
C. 125
D. 243
Câu 18: x là nghiệm của phương trình log3x + log9x + log27x = 11/2 . Hãy tính x-1/3
A. x = 3
B. x = 1/3
C. x = ∛9
D. x = 1/∛9
Câu 19: Giả sử x là nghiệm của phương trình 4log2x + x2 = 8. Tính (log3x)3
A. 1
B. 8
C. 2√2
D. ±1
Câu 20: Giải bất phương trình 9x - 82.3x + 81 ≤ 0
A. 1 ≤ x ≤ 4
B. 0 ≤ x ≤ 4
C. 1 ≤ x ≤ 5
D. 0 ≤ x ≤ 5
| 1. D | 2. D | 3. A | 4. C | 5. D | 6. C | 7. A | 8. A | 9. B | 10. A |
| 11. C | 12. D | 13. A | 14. C | 15. B | 16. B | 17. C | 18. B | 19. A | 20. B |
Câu 1:

Chọn đáp án D
Câu 2:

Chọn đáp án D
Câu 3:
7log77 - log777 = 7 - 7log77 = 7 - 7.1 = 0
Chọn đáp án A
Câu 4:
10x = 400 ⇒ x = log400 = log(22.102) = log22 + log102 = 2log2 + 2
Chọn đáp án C
Câu 5:
Điều kiện: x > 0

⇒ x = 2,43
Chọn đáp án D
Câu 6:
2x + 2x + 1 ≤ 3x + 3x - 1 <⇒2x + 2.2x ≤ 3x + (1/3).3xx <⇒ 3.2x ≤ 4/3.3x

Chọn đáp án C
Câu 7:
Điều kiện: x > 0
log45x - log3 > 1 <⇒ log(45x/3) > 1 <⇒ log15x > 1 <⇒ 15x > 10 <⇒ x > 2/3
Kết hợp điều kiện ta được: x > 2/3
Chọn đáp án A
Câu 8:


Chọn đáp án A
Câu 9:

Ta thấy y’ đổi dấu khi đi qua điểm x = 1 nên hàm số có một điểm cực trị là x = 1.
Chọn đáp án B
Câu 10:

Chọn đáp án A
Câu 11:

Từ đó suy ra hàm số có hai tiệm cận ngang là y = 1 và y = 0
Chọn đáp án C
Câu 12:
Số tiền lãi bà Mai nhận được sau 4 năm (2020 - 2016 = 4 năm) là :
100000000(1 + 0,068)4 - 100000000 ≈ 30102000(đồng)
Chọn đáp án D
Câu 13:

Chọn đáp án A
Câu 14:
Tập xác định: D = (0; +∞)

Nên x = √e là điểm cực đại của hàm số
Chọn đáp án C
Câu 15:
Điều kiện : log3x ≠ 0 ⇔ x ≠ 1

Chọn đáp án B
Câu 16:
Ta có:

PT <⇒ 9.32x - 82.3x + 9 = 0. Đặt t = 3x (t > 0), nhận được phương trình

Chọn đáp án B
Câu 17:
Điều kiện: x > 0

Chọn đáp án C
Câu 18:
Điều kiện: x > 0
PT <⇒ log3x + log32x + log33x = 11/2

Chọn đáp án B
Câu 19:
Điều kiện: x > 0
Ta có: 4log2x = 22log2x = 2log2x2 = x2.
Do đó phương trình đã cho tương đương với:
x2 + x2 = 8 ↔ 2x2 = 8 <⇒ x2 = 4 <⇒ x = 2 (do x > 0) .
Vậy (log2x)3 = 13 = 1
Chọn đáp án A
Câu 20:
Đặt t = 3x (t > 0), nhận được bất phương trình:
t2 - 82t + 81 ≤ 0 <⇒ 1 ≤ t ≤ 81 <⇒ 1 = 30 ≤ 3x ≤ 34 <⇒ 0 ≤ x ≤ 4
Chọn đáp án B
►►► CLICK NGAY vào nút TẢI VỀ dưới đây để tải về Bộ 20 Câu hỏi trắc nghiệm Toán 12 Ôn tập chương 2 Giải tích có đáp án file PDF hoàn toàn miễn phí!